基于锁模飞秒激光器构建的光频梳系统的优点是功率高,波长覆盖范围宽,工作稳定,是现在商品化程度*高的一类光频梳架构。瑞士Menhir公司,美国Octave公司与加拿大Waxwing公司联合起来,可以让用户非常方便且经济的组建起一套快速锁定,平稳工作,可扩展性强的光频梳系统。*终搭建的光频梳内视图下:

图1. 基于Menhir-1550的400MHz光频梳系统内部
以图1为例,可见整套光频梳系统可以布置在一个小于300*450mm尺寸的面包板上,包含一台1555nm波长,>80mW平均功率输出,200fs脉冲宽度,400MHz高重复频率的Menhir-1550光纤飞秒激光器,其单发脉冲能量200pJ正好匹配美国Octave公司COSMO (Comb-Offset Stabilization Module)模组,COSMO 是一个即插即用型的一体式fceo检测模块;其输出的几百MHz带宽的fceo信号经过射频信号低通滤波器,射频信号放大器和射频信号分频器处理为60MHz带宽后,接驳加拿大Waxwing公司的CLB( Comb Lock Box), 即可自动给出反馈信号施加到Menhir-1550锁模飞秒光纤激光器上实现闭环反馈。
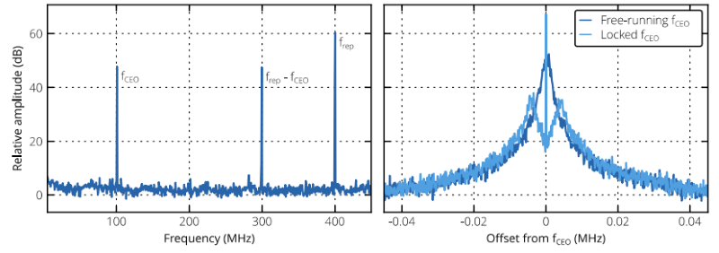
示例的光频梳的fceo锁定的残余相位噪声的均方根值小于0.2 rad [ 1kHz-10MHz] ,反馈环路的带宽接近30kHz,从而有效抑制了噪声,确保了光梳系统的稳定性和可靠性。此外CLB锁定盒还另有出口可用于微调并锁定光频梳的重复频率frep即光频梳的梳齿间距。

图2. 基于Menhir-1550的400MHz光纤飞秒激光器实现fceo锁定
相关核心设备的参数
1. 瑞士Menhir 公司的Menhir-1550锁模光纤飞秒激光器

|
型号 |
MENHIR-1550 |
MENHIR-1550+ |
|
类型 |
光纤飞秒振荡器 |
振荡器+放大器 |
|
平均功率 |
50mW |
可达 2W |
|
脉冲能量 |
>0.05nJ |
可达 1nJ |
|
重复频率 |
标准:0.216, 0.25, 0.4, 1 , 1.25 , 2, 2.5GHz |
|
|
中心波长 |
1555nm+/-10nm |
|
|
带宽 |
>10nm |
|
|
脉宽 |
<250 fs, 变换极限 |
|
|
输出 |
光纤(FC/APC保偏),或自由光 |
|
|
光束质量: |
M<1.05 |
|
|
振幅噪声: |
<0.1%(1h), <0.05%[1Hz-10MHz] |
|
|
时间抖动 |
<30fs (1kHz-10MHz) |
|
|
能耗 |
<10W |
<50W |
|
电源 |
5V/2A DC |
24V/2A DC |
|
工作温度 |
5 oC 到45 oC |
|
|
工作湿度 |
<80% 无结露环境 |
|
|
控制器 |
无需控制器,一键启动 |
|
|
模拟接口 |
触发,警报,状态,功率调制,Interlock |
|
|
数字接口 |
USB,RS232 |
|
|
可选项 |
frep/fceo电调,射频输出,宇航级,OEM型, 220VAC |
|
2. COSMO模块: 美国Octave Photonics公司COSMO模块

COSMO的英文全称 Comb-Offset Stabilization Module,
|
COSMO 模块 |
参数 |
|
输入飞秒激光中心波长 |
~1560 nm |
|
CEO检测所需*低脉冲能量 |
一般只需150 pJ |
|
*大输入能量 |
1nJ |
|
输入激光的推荐脉宽 |
<250 fs |
|
输入光纤 |
PM1550 |
|
输入光纤接头 |
FC/APC |
|
电信号输出接头 |
SMA |
|
COSMO模块尺寸 |
57x35x17 mm |
|
工作能耗 |
0.6 W (50 mA @12 V) |
|
COSMO模块重量 |
70 g |
|
COSMO模块工作温度 |
5 to 40 C |
|
CEO检测信噪比 |
>35 dB(300 kHz RBW) |
3. CLB光梳锁定盒: 加拿大Waxwing Instruments公司

CLB光梳锁定盒包含接收,反馈与控制的电子学硬件和计算机软件。请参考以下的示意图:

参考文章: Menhir Photonics : Compact Frequency Comb Stabilization
首页
飞语
我的
反馈