技术文章
光束分析仪*小能测多小的激光光斑尺寸
发布时间:2022-05-16 17:57:57
激光光束轮廓分析中,其中较为重要的测量之一就是测量光束宽度。通常我们对于光束轮廓分析仪的常见问题就是“可以用这台相机测量多小的光束?”本文将探讨DataRay光束分析仪原理背后的测试理论,并使用从多个DataRay相机、Beam'R2收集的一些测量数据,表明了对于光束宽度测量,光束轮廓分析仪沿每个轴覆盖至少10个相机像素,以获得良好的测量结果,10个照明像素对应大约10%的误差,而实验数据表明仅有5%的误差。所以,基于相机光斑分析仪能测的*小光斑尺寸取决于相机传感器的像素尺寸。为了实现准确的测量,相机光斑分析仪能测的*小光斑尺寸限制为相机像素大小的10倍左右。
光束轮廓分析仪可以借助CCD或CMOS等传感器的成像原理,使用光束宽度算法;为了简化计算讨论,可以使用待测激光束照射传感器的光束会照亮一定数量的像素,也就对应光斑尺寸限制。其中被照亮像素的ADC值与强度和功率成正比,因此可以将强度与像素位置作图以获得光束的轮廓,通过图像的剪裁百分比法来确定光束轮廓宽度。首先,确定光束轮廓的*大强度(α)和光束宽度(光斑尺寸)的截止值(y)(13.5%)。通过算法搜索以找到光束强度等于α的位置并返回像素坐标。对于几乎所有的光束,都有两个这样的像素坐标,通过确定它们之间的距离,可以找到光束宽度。
被分析的光束宽度误差与被照亮的像素数量成正比,使用无限数量的照明像素(需要无限小的像素),可以表示光束的真实轮廓。然而,光束轮廓分析仪中CCD和CMOS传感器具有有限的像素尺寸,这会导致返回的光束轮廓离散化。离散化会导致光束宽度测量出现误差;因此,光束必须照亮*少数量的像素才能进行精确的光束宽度测量。
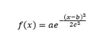
DataRay相机生成完美高斯光束的轮廓以表示入射在传感器上的光束的轮廓(参见图 1)。可以使用高斯公式解析确定光束度。
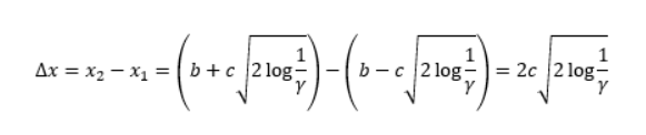
其中a、b和c都是常数。通过设置f(x) = γa,其中0 ≤ γ ≤ 1,然后求解x值,光束的宽度为
光束轮廓分析仪可以借助CCD或CMOS等传感器的成像原理,使用光束宽度算法;为了简化计算讨论,可以使用待测激光束照射传感器的光束会照亮一定数量的像素,也就对应光斑尺寸限制。其中被照亮像素的ADC值与强度和功率成正比,因此可以将强度与像素位置作图以获得光束的轮廓,通过图像的剪裁百分比法来确定光束轮廓宽度。首先,确定光束轮廓的*大强度(α)和光束宽度(光斑尺寸)的截止值(y)(13.5%)。通过算法搜索以找到光束强度等于α的位置并返回像素坐标。对于几乎所有的光束,都有两个这样的像素坐标,通过确定它们之间的距离,可以找到光束宽度。
被分析的光束宽度误差与被照亮的像素数量成正比,使用无限数量的照明像素(需要无限小的像素),可以表示光束的真实轮廓。然而,光束轮廓分析仪中CCD和CMOS传感器具有有限的像素尺寸,这会导致返回的光束轮廓离散化。离散化会导致光束宽度测量出现误差;因此,光束必须照亮*少数量的像素才能进行精确的光束宽度测量。
DataRay相机生成完美高斯光束的轮廓以表示入射在传感器上的光束的轮廓(参见图 1)。可以使用高斯公式解析确定光束度。


为了近似传感器如何读取光束强度,创建了许多沿x轴大小相同的模型。通过模型量化高斯后,确定量化光束的宽度,从而将量化光束的宽度与分析确定的宽度进行比较来计算百分比误差(图1)。

图1 高斯光束(虚线)近似为量化光束(实线)图1(a)高斯光束(虚线)近似为量化光束(实线),量化的数量为5。将分析宽度(虚线)与量化宽度(点划线)进行比较,以给出列出的宽度百分比误差。注意量化的光束是对称的。(b)虽然仍然等于5,但通过改变光束在像素上的对齐方式,量化的光束变得不对称。(c)=10。(d) =25。(e) =50。(f) =100。请注意,随着照明像素数量的增加,量化光束更好地接近高斯并且误差减小。
可以知道,随着照明像素数量的增加,量化光束模型提供了更好的高斯近似,并且量化光束宽度测量的平均误差减小。然而,如果光束稍微移动,就会看到不对称的量化拟合(见图1b)。为了更好地估计真实误差*后,通过不同对齐的误差进行平均,可以将百分比误差拟合到衰减指数曲线(见图2a)。图2(a)百分比误差作为照明像素的函数。理论误差的平均误差(实线)显示为衰减指数曲线。(b)显示了x轴误差(菱形)和y轴误差(圆圈)。为了提供与理论数据的比较,通过数据拟合衰减指数曲线。
可以知道,随着照明像素数量的增加,量化光束模型提供了更好的高斯近似,并且量化光束宽度测量的平均误差减小。然而,如果光束稍微移动,就会看到不对称的量化拟合(见图1b)。为了更好地估计真实误差*后,通过不同对齐的误差进行平均,可以将百分比误差拟合到衰减指数曲线(见图2a)。图2(a)百分比误差作为照明像素的函数。理论误差的平均误差(实线)显示为衰减指数曲线。(b)显示了x轴误差(菱形)和y轴误差(圆圈)。为了提供与理论数据的比较,通过数据拟合衰减指数曲线。

图2 (a) 百分比误差作为照明像素的函数。(b) x轴误差(菱形)和 y 轴误差(圆圈)
DataRay使用多个相机和传感器测量聚焦的675nm 高斯光束的束腰,通过实验来找出百分比误差与照明像素的关系。DataRay Beam'R2是扫描狭缝设备之一,分辨率为 0.1m,至少比CCD或CMOS相机分辨率小32倍,Beam'R2用于确定正确的光束宽度。然后使用其他三个DataRay相机、光束轮廓仪测量光束宽度:BladeCam-XHR、TaperCamD20-15-UCD23,*后是DataRay光束分析轮廓仪WinCamD-LCM4。使用这三个同时具有完整模式和快速模式的DataRay相机光斑分析仪有效地使像素大小翻倍),能够实现六种不同的像素大小。由于DataRay在验证实验中使用两个透镜产生了两种不同的光束宽度,因此总共进行了十二次不同的测量。此外,每次测量都包括一个x和y轴,总共有24个数据点。测量的光束宽度除以像素大小,得到被照亮的像素数。通过与DataRay光束分析仪Beam'R2控制宽度比较计算光束宽度的百分比误差。*后,通过数据拟合的衰减指数曲线绘制了百分比误差与照明像素的关系。实验结果遵循理论结果,在实验和理论数据中都看到了类似的衰减指数曲线。
DataRay使用多个相机和传感器测量聚焦的675nm 高斯光束的束腰,通过实验来找出百分比误差与照明像素的关系。DataRay Beam'R2是扫描狭缝设备之一,分辨率为 0.1m,至少比CCD或CMOS相机分辨率小32倍,Beam'R2用于确定正确的光束宽度。然后使用其他三个DataRay相机、光束轮廓仪测量光束宽度:BladeCam-XHR、TaperCamD20-15-UCD23,*后是DataRay光束分析轮廓仪WinCamD-LCM4。使用这三个同时具有完整模式和快速模式的DataRay相机光斑分析仪有效地使像素大小翻倍),能够实现六种不同的像素大小。由于DataRay在验证实验中使用两个透镜产生了两种不同的光束宽度,因此总共进行了十二次不同的测量。此外,每次测量都包括一个x和y轴,总共有24个数据点。测量的光束宽度除以像素大小,得到被照亮的像素数。通过与DataRay光束分析仪Beam'R2控制宽度比较计算光束宽度的百分比误差。*后,通过数据拟合的衰减指数曲线绘制了百分比误差与照明像素的关系。实验结果遵循理论结果,在实验和理论数据中都看到了类似的衰减指数曲线。

所以,DataRay从理论和实验对比得到,对于激光光束宽度测量,光束轮廓分析仪沿每个轴覆盖至少10个相机像素,以获得良好的测量结果,也就是对于DataRay光束分析仪、相机光斑分析仪能测的*小光斑尺寸,至少应照亮10个像素。另外,从理论模型来看,10个照明像素对应大约10%的误差,而实验数据表明仅有5%的误差。DataRay光束分析仪具有非常适合任何应用的狭缝光斑分析仪和相机光斑分析仪,针对激光束轮廓分析或像素精度问题有很好的解决方案。
首页
飞语
我的
反馈