打开谷瀑APP浏览
推广采购上谷瀑环保
立即打开
  • 产品
  • 详情
在线补偿型空气流量计
1000.00
上海嘉定区
多钦仪表(上海)有限公司
9年 | 指数:190 | 工商已认证
店铺推荐
  • 图文详情
  • 产品参数

在线补偿型空气流量计


在线补偿型空气流量计是集成工况体积流量测量、实时温压采集、标况流量自动换算功能的智能仪表,核心解决空气作为可压缩气体,因温度、压力波动导致的体积流量计量误差问题,广泛应用于工厂压缩空气管网、锅炉燃烧配风、环保废气排放监测等场景,具体技术要点如下:


一、 核心工作原理与补偿逻辑

 

1. 基础测量原理


市面上在线补偿型空气流量计主流采用涡街式热式两种测量原理,适配不同工况需求:
  • 涡街式空气流量计:空气流经旋涡发生体时产生卡门涡街,探头检测旋涡脱落频率,通过公式 f=St×dv​ 换算出工况体积流量(Qf​),无活动部件,维护成本低;
  • 热式空气质量流量计:基于热扩散原理,直接测量空气的质量流量,无需依赖温压补偿,但部分型号仍集成补偿功能用于数据冗余校验。


2. 在线补偿核心算法


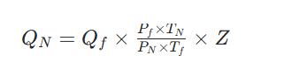
空气属于理想气体范畴,仪表内置理想气体状态方程,结合空气压缩因子修正,自动将工况体积流量换算为标况体积流量(QN​,0℃、101.325kPa)


3. 补偿类型与适配场景

 
补偿类型 采集参数 适用工况 补偿后精度 推荐流量计类型
温度单补偿     实时温度 压力稳定的压缩空气管道(如储气罐后) ±2.0%R~±3.0%R 涡街式
压力单补偿 实时压力 温度稳定的空气管道(如恒温车间风管) ±1.5%R~±2.5%R 涡街式
温压双补偿 实时压力 + 温度     压力、温度均波动的工况(如空压机出口、锅炉配风)     ±1.0%R~±1.5%R 涡街式 / 热式

核心推荐:工业空气计量优先选用温压双补偿,尤其是贸易结算、能源计量等高精度需求场景。



二、 仪表结构与核心配置


在线补偿型空气流量计分为集成式分体式两种结构,适配不同安装空间与工况:

1. 集成式结构(中小管径,DN15~DN100)

  • 核心组成:流量计本体 + 内置扩散硅压力变送器 + 内置 PT100 铂电阻温度传感器 + 智能积算仪;
  • 优势:结构紧凑,安装便捷,无需额外布线,适合工厂压缩空气支线管道、小型空压机配套;
  • 性能参数:耐压等级 PN10~PN40,耐温范围 - 20℃~150℃,输出信号 4-20mA/RS485(Modbus)。


2. 分体式结构(大管径,DN100 以上)

  • 核心组成:流量计本体 + 外置温压传感器 + 独立流量计算机;
  • 优势:传感器可安装在流量计下游 3~5DN 的直管段,避开流场扰动,补偿精度更高;流量计算机支持多台流量计数据汇总,适合大型工厂空气总管、废气排放烟囱计量;
  • 性能参数:耐压等级 PN10~PN100,耐温范围 - 40℃~350℃,支持防爆(Ex d Ⅱ BT4)配置。


三、 安装与调试规范(空气工况专用)

 

1. 安装核心要求

(1) 位置选择

  • 需安装在水平或垂直平直管道段,满足直管段要求:涡街式上游≥10DN、下游≥5DN;热式上游≥5DN、下游≥3DN;避开弯头、阀门、减压阀等流场扰动部件;
  • 测量含油、含尘的压缩空气时,流量计需安装在管道高处,并在上游加装≥5μm 的精密过滤器和油水分离器,防止杂质磨损探头或污染传感器。

(2) 安装姿态

  • 涡街式:优先水平安装,探头朝向管道下方,避免管道顶部积油、积尘覆盖探头;垂直安装时空气需自下而上流动;
  • 热式:可水平或垂直安装,探头需插入管道中心(流速*高处),插入深度≥管道内径的 1/2。

(3) 辅助配置

  • 接地处理:流量计壳体需可靠接地(接地电阻≤4Ω),导出空气流动产生的静电,防止干扰信号;
  • 防爆安装:防爆区域内,传感器和接线盒需满足防爆等级,信号电缆穿镀锌钢管敷设,严禁带电开盖。


2. 调试关键步骤

  1. 参数配置
    • 进入积算仪菜单,选择介质类型为空气,仪表自动加载空气的物性参数(如气体常数、压缩因子数据库);
    • 设定标况基准:默认 0℃、101.325kPa,若现场采用工业标况(20℃)可手动修改TN​;
    • 开启温压双补偿功能,高压工况需启用压缩因子修正。
  2. 零点校准
    • 关闭流量计上下游阀门,管道内空气静止时,执行零点校准,确保流量显示为 0,无漂移。
  3. 精度验证
    • 通入稳定流量的空气,对比在线补偿型流量计与标准气体流量计的标况流量数据;
    • 误差≤±1.5% R 即为合格,若误差偏大,重新核对管道管径、标况参数等配置。


四、 日常维护与故障排查

 

1. 维护要点

  • 定期清洗:每 3~6 个月拆卸探头,用酒精或洁净空气清洗表面的油污、粉尘;压缩空气质量差时,缩短清洗周期至 1~2 个月;
  • 传感器校准:每年校准一次压力、温度传感器,确保采集数据准确;贸易结算用流量计每半年由法定计量机构检定;
  • 检查连接:每月检查法兰螺栓或卡箍的紧固状态,防止空气泄漏;检查信号电缆是否松动,避免数据传输中断。


2. 常见故障排查

 
故障现象 可能原因 解决方法
标况流量波动剧烈 温压传感器信号干扰;空气压力 / 温度突变 检查屏蔽电缆接地;加装稳压阀;紧固传感器接线
标况流量与实际偏差大 补偿参数设置错误;过滤器堵塞 重新核对介质类型和标况参数;清洗过滤器滤网
无补偿流量输出 补偿功能未激活;传感器故障 进入菜单开启温压补偿;更换故障传感器
流量显示为 0 但空气流动      探头堵塞;流速低于仪表量程下限 清洗探头;缩小管径提升空气流速



五、 空气工况使用关键注意事项

  1. 压缩空气预处理:必须加装过滤器和油水分离器,防止油污、水汽损坏传感器,尤其是热式流量计的探头对介质洁净度要求极高;
  2. 流速匹配:涡街式空气流量计的*佳流速为 2~7m/s,流速低于 2m/s 时测量精度下降,需通过缩小管径调整;
  3. 环境适配:户外安装时需加装防晒防雨罩,避免阳光直射或雨水浸泡导致仪表故障;低温工况(<-20℃)需选用耐低温密封件,防止传感器冻裂。


注:1.系统上的价格只是一个参考价格,不是实际价格;
       2.流量计,规格、口径不同,配置不同,价格就不同,需要根据您的工况选型报价~



售后与质保

多钦仪表(上海)有限公司供应的所有产品:
所有产品质保2年;
免费提供电话咨询、指导安装调试等服务;
协商上门指导安装、调试等事宜,只收取合理的差旅费用;
量大可以免费上门指导安装、调试。
品牌:多钦
型号:DVS
加工定制:
类型:容积式
测量范围:2.8-12 m3/h
精度等级:1.5
公称通径:DN15 mm
适用介质:气体
内容声明:谷瀑环保为第三方平台及互联网信息服务提供者,谷瀑环保(含网站、客户端等)所展示的商品/服务的标题、价格、详情等信息内容系由店铺经营者发布,其真实性、准确性和合法性均由店铺经营者负责。谷瀑环保提醒您购买商品/服务前注意谨慎核实,如您对商品/服务的标题、价格、详情等任何信息有任何疑问的,请在购买前通过谷瀑环保与店铺经营者沟通确认;谷瀑环保设备网上存在海量店铺,如您发现店铺内有任何违法/侵权信息,请在谷瀑环保PC版首页底栏投诉通道进行投诉。