

| 型号 | uniLDD-C-C | uniLDD-C-QCW | uniLDD-A-CW | |||
| 输出规格 | ||||||
| 工作模式 | CW1) | QCW2) | CW1) | QCW2) | CW | QCW |
| 合规电压范围,min-max3) | 1–70V4) | - | 1–70V | 1–65V | 1–50V | - |
| 电流范围,min-max | 10–100A5) | 10–100A | 10–160A | 10–100A | ||
| *大功率 | 3kW6) | 3kW | 3kW | 2kW | ||
| 功率转换效率 | 90–98% | |||||
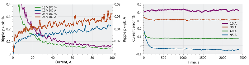
| 电流脉冲振幅稳定性 | 0.1%pk to pk7) | |||||
| 电流纹波Current ripple | 0.1%pk to pk8) | |||||
| 当前漂移Current drift | <0.2% 9) | |||||
| 工作周期 | - | ≤20% | - | |||
| 重复频率,*大 | ≤5kHz | |||||
| 电流上升时间,典型值 | 5–100μs10) | |||||
| 电流脉冲持续时间,典型值 | 高达100ms11) | |||||
| 有效值电流,*大值 | 100A | |||||
| TEC内部控制通道的功能数量 | 0, 1or212) | |||||
| TEC 控制电流 min-max per channel |
1–25A | |||||
| TEC 控制电压 min-max per channel |
1–36V | |||||
| TEC控制功率 max per channel |
350W | |||||
| 输入规格 | ||||||
| 电源要求(功率级),min | UPS in min(V)=ULDD out max+5 PPS in min(W)=ILDD out max*ULDD out max*duty cycle max/100%*1.2 |
|||||
| 电源要求(控制级) | 12V, 10W | 12V, 15W | ||||
| 控制界面 | 默认为模拟、CAN和RS232,可根据要求提供USB、LAN和WLAN13) | |||||
| 软件 | 默认包含Ekspla的控制软件和协议说明 | |||||
| 保护措施Protections | 瞬态电流(过载)保护;开路关机;过温关机;电源电压断电(电压骤降)关机;联锁关机 | |||||
| 物理特性 | ||||||
| 尺寸 (LxWxH)14) | 130x90x30mm | 130x90x54mm | 208x65x103mm | |||
| 操作要求 | ||||||
| 冷却方法 | 导电 | 强制通风 | ||||
| 工作环境温度 | ≤40℃ | |||||
| 工作底板温度 | ≤50℃ | - | ||||
| 附件 | ||||||
| CAN-USB适配器 | 评估时需要使用Ekspla的CAN-USB适配器 | |||||
| 通信板 | Ekspla的通信板,可通过RS232、USB、局域网、无线局域网接口控制驱动程序 可根据要求提供 |
|||||
| 电压升压板 | Ekspla的升压板可延长一些uniLDD型号的输出合规电压。在某些情况下,输出合规电压可提高到600V,可根据Ekspla的建议在出厂时添加 | |||||
| 底板Baseplate | 铜,默认包含 | 铝,根据要求包括在内 | ||||
| 输出电源电缆 | 根据要求提供,可定制直径和长度 | |||||
| 输入电源电缆 | 根据要求提供,可定制直径和长度 | |||||
| 控制电缆 | 默认包含 | |||||
| 外部电容器 | 根据Ekspla的建议,也可包括在内。可根据要求定制外部电容器的安装方案 | |||||
| 型号 | uniLDD-A-QCW | Bi-uniLDD-A-QCW | Tri-uniLDD-A-QCW | ||||||
| 输出规格 | |||||||||
| 工作模式 | CW | QCW | CW | QCW | CW | QCW | |||
| 合规电压范围,min-max3) | 1–50V | 1–85V | 1–50V | 1–85V | 1–50V | 1–85V | |||
| 电流范围,min-max | 10–100A | 10–360A | 20–100A | 20–800A | 30–300A | 30–1200A | |||
| *大功率 | 2kW | 2kW | 4kW | 4kW | 6kW | 6kW | |||
| 功率转换效率 | 90–98% | ||||||||
| 电流脉冲振幅稳定性 | 0.1% pk to pk7) | ||||||||
| 电流纹波Current ripple | 0.1% pk to pk8) | ||||||||
| 当前漂移Current drift | <0.2%9) | ||||||||
| 工作周期 | ≤20% | ≤20% | ≤20% | ||||||
| 重复频率,*大 | ≤5kHz | ≤5kHz | ≤5kHz | ||||||
| 电流上升时间,典型值 | 5–100μs | 5–100μs | 5–100μs | ||||||
| 电流脉冲持续时间,典型值 | 高达100ms | 高达100ms | 高达100ms | ||||||
| 有效值电流,*大值 | 80A | 160A | 240A | ||||||
| TEC内部控制通道的功能数量 | 0, 1 or 212) | 0 | |||||||
| TEC 控制电流 min-max per channel |
1–25A | - | |||||||
| TEC 控制电压 min-max per channel |
1–36V | ||||||||
| TEC控制功率 max per channel |
350W | ||||||||
| 输入规格 | |||||||||
| 电源要求(功率级),min | UPS in min (V)=ULDD out max+5 PPS in min(W)=ILDD out max*ULDD out max*duty cycle max/100%*1.2 |
||||||||
| 电源要求(控制级) | 12V, 15W | 12V, 20W | 12V, 25W | ||||||
| 控制界面 | 默认为模拟、CAN 和 RS232。 可根据要求提供 USB、LAN和WLAN13) | ||||||||
| 软件 | 默认包含Ekspla的控制软件和协议说明 | ||||||||
| 保护措施Protections | 瞬态电流(过载)保护;开路关机;过温关机;电源电压断电(电压骤降)关机;联锁关机 | ||||||||
| 物理特性 | |||||||||
| 尺寸 (LxWxH)14) | 208x65x103mm | 250x146x98mm | 250x200x98mm | ||||||
| 操作要求 | |||||||||
| 冷却方法 | 强制通风Forced-air | ||||||||
| 工作环境温度 | ≤40℃ | ||||||||
| 附件 | |||||||||
| CAN-USB 适配器 | 评估时需要使用Ekspla的CAN-USB适配器。 | ||||||||
| 通信板 | Ekspla的通信板,可通过RS232、USB、局域网、无线局域网接口控制驱动程序。 可根据要求提供 |
||||||||
| 电压升压板 | Ekspla的升压板可延长一些uniLDD型号的输出合规电压。在某些情况下,输出合规电压可提高到600 V。可根据Ekspla的建议在出厂时添加 | ||||||||
| 底板Baseplate | 铝,根据要求包括在内 | 铝,默认包含 | |||||||
| 输出电源电缆 | 根据要求提供,可定制直径和长度 | ||||||||
| 输入电源电缆 | 根据要求提供,可定制直径和长度 | ||||||||
| 控制电缆 | 默认包含 | ||||||||
| 外部电容器 | 根据Ekspla的建议,也可包括在内。可根据要求定制外部电容器的安装方案 | ||||||||

| 引脚Pin | Signal名称 | 方向 | 电压等级 | 描述 |
| 1 | Enable | 输入 | TTL(LVTTL) 200µA上拉至3.3V |
启用功能允许 TEC 驱动器运行,从而允许 LDD 驱动器运行。 |
| 2 | 准备运行(RTO) | 输入/输出通过330Ω电阻 | >2.4V驱动器输出处于活动状态,<0.5V输出被钳位 | 当“活动RTO”启用且驱动器处于活动状态时,驱动器会将RTO连接至“高”。警报会将RTO钳位至低电平并禁用驱动器输出。外部设备可将RTO钳位至地并禁用驱动器输出。RTO允许连接并联的多个驱动器的故障电路 |
| 3 | Interlock | 输入 | 10kΩ pull up to 3.3V, LOW=<0.4V |
联锁功能可以连接到外部安全或机器保护开关,如门或温度开关。打开=关闭连接到GND=运行 |
| 4 | GND | - | ||
| 5 | Vout Monitor | 输出 | Vout, 驱动输出电压 | 输出电压监视器。 Vout=二极管顺从电压+连接线上的电压降 |
| 6 | Iout Monitor | 输出 | 0-10V*=0-Ioutmax | 输出电流监视器 |
| 7 | Iprogram | 输入 | 0-10V*=0-Ioutmax | 输出电流设置或通过施加电压进行调制,CW和脉冲模式 |
| 8 | 脉冲 | 输入 | TTL, LVTTL positive pulse | 触发输入模式:触发输入。 向该连接器提供的上升脉冲将触发预设宽度的输出电流脉冲。 在时间门控模式下:用于启动/停止输出电流的输入"。 触发输入 "连接具有相同的功能 |
| 9 | GND | - | ||
| 10 | +5V | 输出 | Auxiliary 200mA | - |
| 11 | +5V | 输出 | Auxiliary 200mA | |
| 12 | -15V | 输出 | Auxiliary 200mA | |
| 13 | +15V | 输出 | Auxiliary 200mA | |
| 14 | +15V | 输出 | Auxiliary 200mA | |
| 15 | GND | - | ||


| 品牌: | 立陶宛EKSPLA |
| 型号: | uniLDD-C-CW/QCW,uniLDD-A-CW |
| 加工定制: | 否 |
| 应用领域: | 工业、医疗、科学和军事领域 |
| 外形尺寸: | 130x90x30、130x90x54、208x65x103 mm |